Hola a todos! En este tema veremos algunos problemas en los cuales se nos proporciona la formula molecular de un compuesto orgánico, y necesitaremos encontrar su estructura molecular. Empecemos.
1.) El compuesto C5H12 puede formar un sólo producto monoclorado C5H11Cl. Escriba la estructura correcta y su nombre según la UIQPA.
El compuesto presenta 5 átomos de carbono y 12 átomos de hidrógeno. Debió reaccionar con cloruro gaseoso, para formar tal compuesto monoclorado, con perdida de 1 átomo de hidrógeno y formación de cloruro de hidrógeno. Se puede ver, que el único tipo de compuesto que encaja con la fórmula, es saturado, ya que si fuera un compuesto linea insaturado o un compuesto cíclico, el número de hidrógenos no se ajustaría. Por lo tanto entre las opciones tenemos: n-pentano, 2-metilbutano y 2,2-dimetilpropano.
El problemas nos dice que sólo puede producir un producto monoclorado, por lo tanto, el n-pentano queda descartado, ya que el átomo de cloro, se podría ubicar en cualquiera de sus átomos de carbono y producir distintos isómeros del compuesto resultante. De igual manera pasa con el 2-metilbutano. Así que, el único que nos queda es el 2,2-dimetilpropano, el cuál analizando su estructura podemos ver que, no importa en cual átomo de carbono externo al átomo de carbono central, se ubique el átomo de cloro, el resultado siempre será un sólo producto, el 1-cloro-2,2-dimetilpropano. Veamos la reacción
2. El colestano C27H48, un esteroide con la misma estructura del colesterol, no absorbe hidrógenos. ¿Cuántos anillos tiene?
Al tener misma estructura que el colesterol, nos dice que presenta anillos de 6 átomos de carbono y también de 5. El colesterol presenta 3 anillos de 6 átomos de carbono y 1 anillo de 5 átomos de carbono, de manera que el colestano tendrá 4 anillos.
3. Utilizando mecanismo de reacción, escriba con detalle las deshidratación del siguiente alcohol, 3,3-dimetil-2-butanol. Escriba la estructura y el nombre UIQPA del producto orgánico principal.
Una deshidratación de un alcohol esta acompañada de un aporte de calor. Tal energía se utiliza para romper enlaces que liberen protones, los cuales se unirán al grupo hidroxilo. El grupo hidroxilo al tener una carga formal positiva resulta inestable, y se separa de su átomo de carbono adyacente, formando agua y dejando la molécula a la cual estaba unida con un carbocatión. Dicho carbocatión es inestable, y se acomoda por resonancia en la molécula según la regla de estabilidad carbocatiónica (3°>2°>1°>CH3). Luego de acomodarse toma un átomo de hidrógeno de átomo de carbono cercano, y forma un doble enlace, el cual será más estable dependiendo de en cuál átomo de carbono se posicione (Carbono terciario > carbono secundario > carbono primario > grupo metilo). El compuesto resultante es: 2,3-dimetil-2-buteno.Veamos la reacción:
4. Un compuesto A, C5H10 reacciona con Br2/500° formando un sólo producto monobromado B, C5H9Br. Cuando B se trata con KOH/etanol se convierte en C, C5H8. En la ozonólisis de C se obtiene pentanoidal HOC-(CH2)3-CHO. Deducir la estructura de los compuesto A, B y C.
En esta ocasión tenemos más datos, vemos que el compuesto A reacciona con Br2 a una alta temperatura, ésto podría ser un indicio de que es un compuesto saturado, como un ciclopentano (ya que uno lineal no se ajustaría a la formula molecular) que se caracterizan por reaccionar con halógenos en presencia de luz ultravioleta o altas temperaturas, pero igual podría ser un penteno, así que aún nos falta analizar datos.
Cuando se forma el compuesto B, éste se trata en un medio básico, lo que hace que pierda 2 átomos de hidrógenos, esto nos dice que se ha formando otro enlace. Por último, la ozonólisis produce un sólo compuesto, un aldehído. De manera que parece confirmar que en efecto sí es un ciclopentano, ya que un bromopenteno tras la perdida de los dos hidrógeno formaría un bromopentino, y en la ozonólisis se esperaría que formara dos compuesto, posiblemente, una cetona y un aldehído. En cambio el ciclopentano al reaccionar con Br2/500° formaría bromociclopentano, luego en la reacción con KOH/etanol formaría ciclopenteno, más bromuro de potasio y agua. Por último en la ozonólisis, la ruptura sería en el doble enlace, abriendo el ciclo para formar un compuesto lineal y uniendo dos átomos de oxigeno. Veamos la reacción:
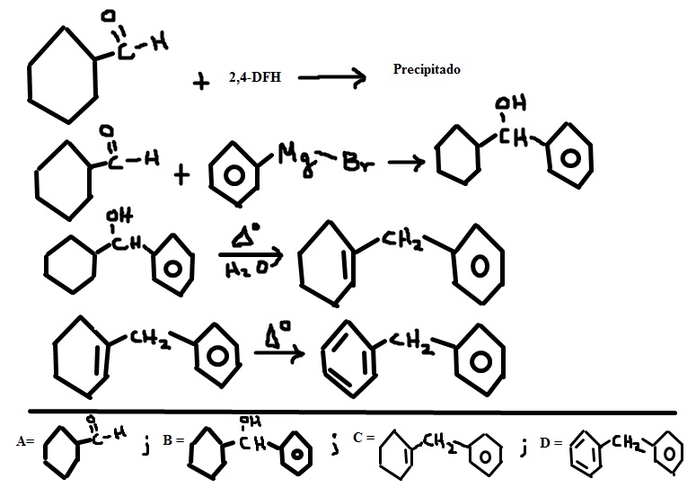
5. Un compuesto A, C7H12O, forma un precipitado con la 2,4-DFH; reacciona con C6H5MgBr/H2O para formar B, C13H18O. La deshidratación de B produce C, C13H16. El compuesto C puede deshidrogenarse y formar un compuesto tipo bifenílico D, C13H12. Deducir las estructuras de A, B, C y D.
El compuesto A tiene un átomo de oxigeno, entonces podría ser un alcohol, cetona o aldehido. Nos dicen que reacciona con la 2,4-DFH, este compueste se caracteriza por reaccionar con cetonas y aldehidos, por lo tanto descartamos la opción que sea un alcohol. Cuando reacciona con C6H5MgBr/H2O se le agregan 6 átomos de carbonos mas, luego pierde 2 átomos de hidrógeno y 1 de oxigeno, lo que indica que probablemente el compuesto B era un alcohol que de deshidrató. Por último se forma un compuesto bifenílico. Lo último y que se hayan agregado 6 átomos de carbono nos dice que es el compuesto incial, es cíclico, y segun su formula molecular, no permite descartar la opción de que pueda ser una cetona, ya que si seguimos nuestra cadena de razonamientos, sería un ciclohexano sobraría un átomo de carbono, el cual se le une el átomo de oxigeno, ya que si éste último se uniera a un átomo de carbono en el ciclo, el numero de hidrógeno disminuiría y no encajaría con la formula molecular. Veamos la reacción:
Bueno eso ha sido todo por esta vez…NaClu2 y Gracias!



